Dear GOSH community,
This is to announce a new sensor board for spectrometers. It is important because it is one of the few CCD sensor systems that provide linearity and reproducibility. There is a long history with these sensors and we have worked with them since they were invented, and in particular over the last six years during which we have been incrementally developing sensor systems for purposes of our own research in organic electronics. We study effects that occur at the sub 1% level. So we needed better linearity with real stability and reproducibility. A link to our repo on github is provided at the bottom of this posting.
We are going to show some data to substantiate the claim that the problems are real and that we have a pretty good solution and that this is something to think about for your next spectrometer.
For background, the challenges arise in electrical characteristics including slew, a novel form of capacitive “kick back”, and certain aspects of device physics, sometimes referred to as residual charge transfer. We describe all of that in detail in the readme on github (again, scroll down for the link).
Now for some data. These are simple measurements that you can try with your own spectrometer. For the light source, we use a conventional fluorescent lamp. These are very good for testing a spectrometer because they have sharp lines that stress the instrument and a few broad lines for comparison. Even better, some of the lines have tabulated strengths so that we know what some parts of the spectrum should look like in a good instrument.
We want to test linearity, but it is not easy to vary intensity in a well controlled precise way. But, we can do a very good job varying exposure time. The effect is similar, more charge is developed in the photodiode array within the sensor and the voltage read from the sensor gets proportionally larger. That much should be linear and we confirmed that it is indeed so in the TCD1304. (Some spectrometer manufacturers claim otherwise, it is not true. It is actually a very good sensor.)
Here are results comparing our new sensor system with a popular commercial instrument.
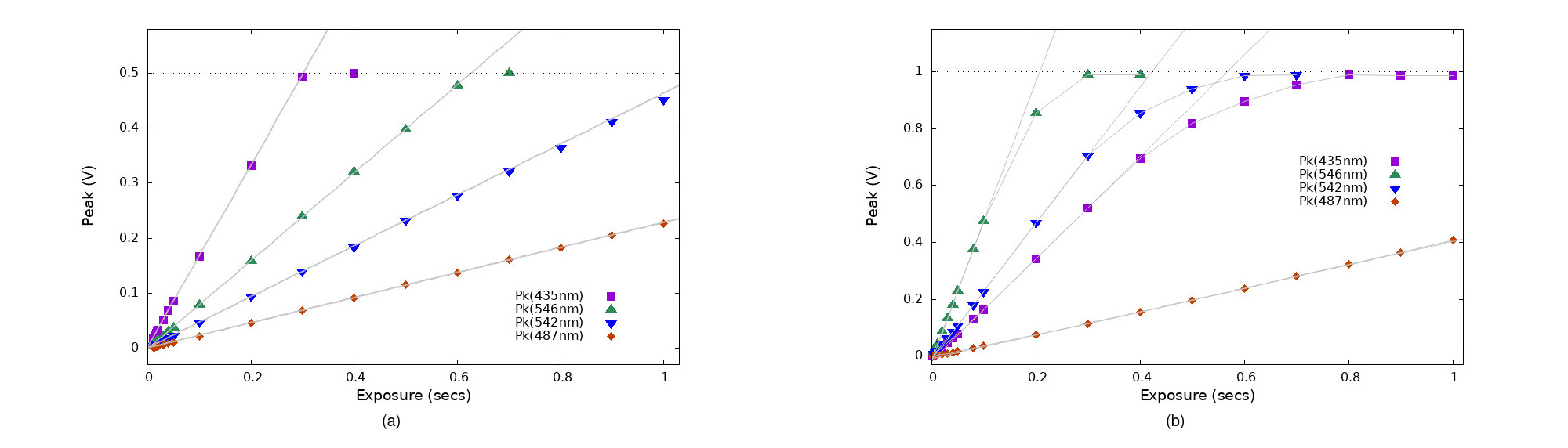
In the following, the graphs on the left (a) are from the instrument that we built with our new sensor system. The graphs on the right (b) are from the commercial miniature CCD spectrometer.
In this first set of graphs, the spectra at different exposure times are divided by exposure time. In a good instrument the spectra normalized in this way should overlay each other. That is what we see with our new sensor device. Also, in our instrument the line at 435nm is about twice as large as the line at 546 nm. Those are two lines of Hg that are present in household fluorescent lamps and their intensity ratio should indeed be about 2:1, as they appear in our instrument.
We might ask, why is the 435nm line so weak in the commercial instrument? Is it due to some optical problem? It is an expensive commercial instrument, but maybe it is not focused or aligned properly. Let’s look further.
Here we graph the raw peak heights against exposure time. Again the graph on the left (a) is our new instrument. As you can see, we are pretty linear – for almost all of the sensor’s dynamic range the data produced by our instrument follows a straight line.
We can understand from this that when an instrument is not linear, spectra taken under different conditions will look different. That is because the curves on the right (b) don’t track each other. That is a very important point and one which should be concerning. as follows.
Here is a specific scenario to illustrate how linearity can be very important. The lines at 542nm and 546nm are due to Tb3+ and Hg, respectively. Suppose we want to write a paper on the relative presence of Tb and Hg in fluorescent lamp vapor. So, we collect a bunch of lamps and measure their spectra. Naturally the lamps will vary somewhat in overall intensity.
Here is the relative intensity of the Tb3+ and Hg lines versus exposure time (recall that exposure time is our stand in for intensity). Which instrument would you rather base your data on for your paper on the relative presence of Tb and Hg in fluorescent lamps?
That is the punch line, more or less. Data based on the instrument on the left (a) is more reliable and gives you a number that you might be able to use in your paper. You can easily invent other scenarios where this point is similarly important.
With apologies, in case it sounds like marketing, sometimes it is important to “blow one’s own horn”. Here are a few selling points.
-
Focus on data integrity: Stability and linearity with a 16-bit differential signal path, strong gate drivers and timing, and optimization for noise, and obsessive review and testing to make sure that the data represents a faithful measurement.
-
Field-ready power: Fully USB-powered (via Teensy 4.1) with onboard ultra low noise power conditioning ensure clean data on portable power.
-
Open source, and transparent metrology: The github repo includes a detailed explanation of the design, including the analog path and linearity, gate drivers, power and noise isolation, and how it is operated to address residual image effects. It is not a black box in any way, but rather a well documented instrument.
(Aside, the 16 bit ADC is important for effective signal averaging.)
I feel that part of the story is that scientists who make and use instruments have different priorities that are net necessarily well addessed by companies who make instruments to sell them. It is not just profit versus putting one’s reputation on the line in publishing the data. I believe in a kind of basic integrity such that instruments should be built with the same uncompromising exactitude with which they might (and often, should) be used.
Production & Availability (Interest Check)
We developed this platform for our own research in stimulated emission in organic electronics. We needed to capture subtle signatures in electro-luminescent spectra at microamper/cm2 level excitation. After some efforts with an expensive commercial instrument, it was clear that the old issues needed some attention from the science user/instrument maker community. The result, we hope, is a definitive implementation for theTCD1304 which we posted as an open source project on github. Hopefully this will spark some discussion and perhaps even set a new bar for what can be expected from a CCD based instrument.
Our goal in posting to this community is to gauge interest and help determine the best path to making boards available to the open science open hardware community. At present, we use an assembly service for the SMT parts (it takes me 4-6 hours to it by hand). After the boards arrive in my lab from the PCBA service, I add connectors and validate each board, flash the firmware, add cables and ship the boards to their ultimate destination.
In the github repo, we uploaded find three hardware implementations along with code for the Teensy 4 based controller and Python for the host computer. The preferred hardware for professional use is the 16 bit implementation. The 12 bit all-in-one is more economical, still very linear and sufficient for more modest use The analog output board is intended for electrical experimentation.
If you are interested in a sensor sytem or a small-batch order for your lab, please reach out via PM or drmcnelsonlab@gmail.com.


